Breadth First Search (BFS) in java

Breadth-First Search:

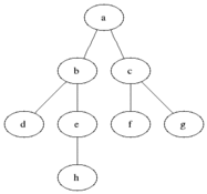
Breadth-First Search (BFS) is a searching algorithm that searches the destination from root or source and explores all the neighbor nodes first, before moving to the next level neighbors. The animation will make this more clear.

To learn Breadth-First Search (BFS) more deeply, you can download Breadth-First Search in the PowerPoint slide.
The following code is to implement Breadth-First Search (BFS) in java
:

You can practice Breadth-First Search (BFS) from here.
For more algorithm implementation, visit here...

 Related Post:

DFS in java                                                             Java The Complete Reference, 8th Edition